Elon Musk has a habit of making dramatic announcements and pushing technology to the edge. However, when he speaks of building million mile batteries for electric vehicles we have to stop and ask. We know a Tesla research group is experimenting with pouch batteries but could this be true?
Could These Million Mile Batteries Really Materialize?

In April 2019 Elon Musk promised a million fully autonomous taxis by mid-2020 according to Wired UK. However, that website has not seen one yet although it could be missing something. But it thinks the second promise he made that day at Palo Alto could come true.
Apparently, the second promise relates to million mile batteries for EV’s that would not require any significant maintenance for that duration. We left that thought pending until the Tesla battery research group leader published a paper suggesting the second promise might yet materialize. In a nutshell Jeff Danh, of the University of Dalhousie in Canada made a remarkable revelation in the Journal of the Electrochemical Society.
What We Know About Jeff Danh’s ‘New Kind of Battery’

“We conclude that cells of this type should be able to power an electric vehicle for over one million miles. And last at least two decades in grid energy storage,” he wrote. “Such long-lasting batteries would be particularly useful for vehicles that travel much more than the average car, such as trucks and taxis.”
They would also be valuable for feeding energy from car batteries back to the grid. So electric vehicles, in effect, become mobile forms of energy storage, he explains. Thus Jeff Danh’s interests apparently lie in haulage, robotic taxis and grid storage as opposed to electric vehicles per se.
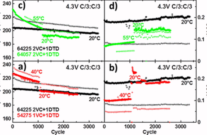
The test batteries – when kept at 20ºC – shed only 4% of capacity after 3,400 complete recycles over 27 months. We conclude Elon Musk’s million mile batteries might not be as far-fetched as we first imagined.
Related
Elon Musk Calls the Shots at Gigafactory 1
Cobalt in Batteries: Elon Musk Shows His Hand
Preview Image: Capacity Versus Cycle Number (Jeff Danh)